2021考研数学二答案解析(2021考研数学二考试真题及答案详细说明)
2020年全国硕士研究生统一入学考试目前已经结束了,每次考试结束大家总想着能够核对一下答案在心底给自己做一个估算,所以接下来全球手游网小编就给大家整理了2021考研数学二真题及答案详解,有需要的小伙伴一起看看吧。
2021考研数学二真题及答案详解
选择题1-3
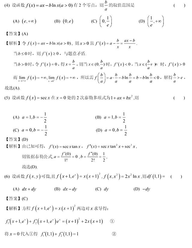
选择题4-6
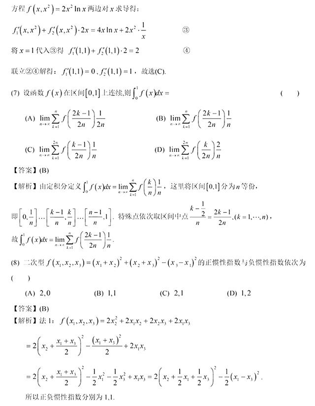
选择题7-8
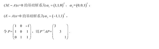
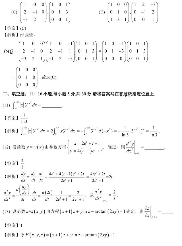
选择题9-10
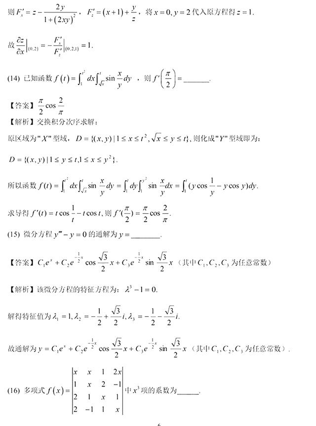
填空题11-13
填空题14-16
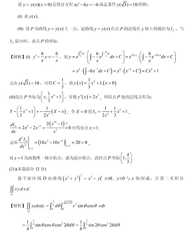
解答题17-18
解答题19-20
解答题21
解答题22
解答题22解析
以上就是全球下载小编给大家带来的关于2021年考研数学二答案解析全部内容,更多精彩内容请关注全球下载手游网,小编将持续更新更多相关攻略。
斧牛免费手游加速器支持网络游戏,平台游戏以及网页游戏的加速,通过遍布海内外的加速节点,以动态路由调整、7x24小时全时段网络检测、数据以最优路径中转等技术,确保了游戏的流畅度。斧牛免费手游加速器是一款符合游戏玩家需求的网络游戏加速软件。它能帮助您解决电信、网通、移动宽带、教育网之间的互联瓶颈,使您流畅地享受网游的乐趣,不会再因网络延时大而抓狂!这款符合环保需求的绿色软件体积小功能强大,不仅能直观地看到加速效果,更能实实在在地切身感受!斧牛免费手游加速器加速器现已重磅推出。从你下载安装的第一秒开始,斧牛免费手游加速器加速器将给为你带来前所未有的网络体验。玩游戏再也不会“卡”,让我们一起来尽情享受这种Play的感觉!